Accueil > Présentation EEG > Mission de l’assocation EEG > Bilan des visites pour 2017
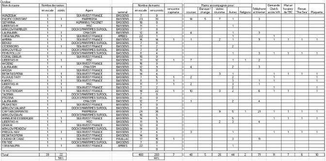
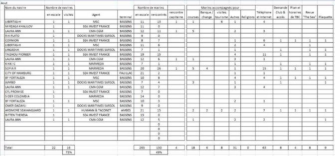
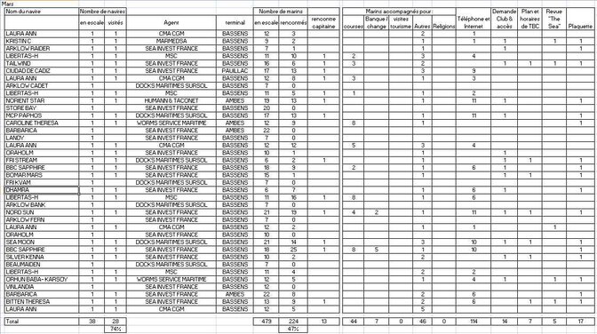
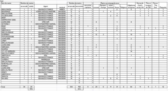
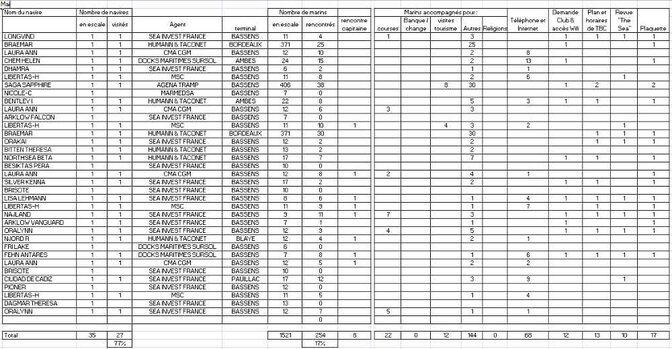
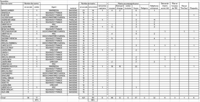
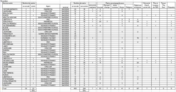
Bilan des visites pour 2017
jeudi 11 janvier 2018, par
Seamen’s Club - Escale Estuaire de la Gironde
Welcome to BORDEAUX
Accueil > Présentation EEG > Mission de l’assocation EEG > Bilan des visites pour 2017
Bilan des visites pour 2017jeudi 11 janvier 2018, par